最好看的2018免费观看在线-最好看的2019中文电影-最好免费观看高清视频免费-最近免费中文字幕大全免费版视频

您好!歡迎光臨烜芯微科技品牌官網!

深圳市烜芯微科技有限公司

ShenZhen XuanXinWei Technoligy Co.,Ltd
二極管、三極管、MOS管、橋堆

全國服務熱線:18923864027

  • 熱門關鍵詞:
  • 橋堆
  • 場效應管
  • 三極管
  • 二極管
  • 串聯分壓原理,公式與串聯電路分壓規律介紹
    • 發布時間:2025-07-03 18:34:35
    • 來源:
    • 閱讀次數:
    串聯分壓原理,公式與串聯電路分壓規律介紹
    1. 基本原理
    在串聯電路中,所有元件(通常指電阻)依次連接形成單一電流通路。其核心特性在于:
    電流一致性: 流經電路中每一個元件的電流(I)處處相等。
    電壓疊加性: 電路兩端施加的總電壓(U_total)等于各個元件兩端電壓(U1, U2, ..., Un)的代數和,即 U_total = U1 + U2 + ... + Un。
    1.基于上述特性,當電流流經具有不同電阻值的元件時,每個元件兩端的電壓將按其電阻值的大小成比例分配。
    串聯分壓原理
    這一現象稱為串聯分壓或串聯電壓分配。其根本原因是電流在串聯路徑中恒定,根據歐姆定律(U = I * R),元件兩端的電壓必然與其電阻值成正比。
    2. 數學表述與分壓規律
    考慮一個由兩個電阻 R1 和 R2 組成的簡單串聯電路:
    流經 R1 和 R2 的電流 I 相同。
    根據歐姆定律:
    電阻 R1 兩端的電壓: U1 = I * R1
    電阻 R2 兩端的電壓: U2 = I * R2
    電路總電壓: U_total = U1 + U2 = I * R1 + I * R2 = I * (R1 + R2)
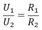
    由此可推導出串聯分壓公式:
    串聯分壓原理
    以及每個電阻上的電壓表達式:
    U1 = U_total * (R1 / (R1 + R2))
    U2 = U_total * (R2 / (R1 + R2))
    串聯分壓原理
    核心規律總結(串聯分壓規律):
    在串聯電路中,電流處處相等 (I = constant)。
    總電壓等于各分電壓之和 (U_total = ΣUi)。
    總電阻等于各分電阻之和 (R_total = ΣRi)。
    各電阻兩端的電壓與其電阻值成正比 (Ui ∝ Ri)。即電阻值越大的元件,其兩端分配的電壓也越高。
    串聯分壓原理
    3. 工程意義與應用
    串聯分壓原理在電路設計與分析中具有重要的實用價值:
    電壓計算與測量: 該原理是計算串聯電路中各元件工作電壓的基礎。結合歐姆定律,可精確求解任意元件上的電壓降和電流。
    電壓設定與調節: 通過精心選擇串聯電阻的阻值比例,可以在特定元件(如傳感器、LED、集成電路輸入引腳)上獲得所需的精確工作電壓 (U_desired = U_total * (R_desired / R_total)),無需額外電源。
    安全保護: 理解電壓分配有助于確保元件工作在其額定電壓范圍內。設計時需驗證高阻值元件上的電壓是否超過其耐壓極限,必要時可并聯泄放電阻或選用更高額定值的元件。
    信號電平調整: 在模擬電路(如分壓器網絡、衰減器)中,串聯分壓是改變信號幅度的基本手段。
    參考電壓生成: 利用精密電阻串聯,可從穩定電源(如基準電壓源)產生精確的分壓參考點。
    〈烜芯微/XXW〉專業制造二極管,三極管,MOS管,橋堆等,20年,工廠直銷省20%,上萬家電路電器生產企業選用,專業的工程師幫您穩定好每一批產品,如果您有遇到什么需要幫助解決的,可以直接聯系下方的聯系號碼或加QQ/微信,由我們的銷售經理給您精準的報價以及產品介紹
    聯系號碼:18923864027(同微信)
     
    QQ:709211280

    相關閱讀