最好看的2018免费观看在线-最好看的2019中文电影-最好免费观看高清视频免费-最近免费中文字幕大全免费版视频

您好!歡迎光臨烜芯微科技品牌官網!

深圳市烜芯微科技有限公司

ShenZhen XuanXinWei Technoligy Co.,Ltd
二極管、三極管、MOS管、橋堆

全國服務熱線:18923864027

  • 熱門關鍵詞:
  • 橋堆
  • 場效應管
  • 三極管
  • 二極管
  • 為什么三極管在基極下拉一個電阻
    • 發布時間:2025-08-12 19:54:45
    • 來源:
    • 閱讀次數:
    為什么三極管在基極下拉一個電阻
    在電子技術領域,晶體三極管作為一種關鍵的半導體器件,被廣泛應用于信號放大和電子開關等場景。本文將深入探討三極管的工作原理,以及在實際電路設計中下拉電阻的重要作用,旨在幫助工程師和技術人員更好地理解和應用這一基礎元件。
    一、三極管基本工作原理
    晶體三極管,亦稱雙極型晶體管,是一種能夠控制電流的半導體器件。它的主要功能是將微弱信號放大為幅度較大的電信號,同時也可用作無觸點開關。
    當三極管工作在飽和區時,其集電極與發射極之間的電阻Rce趨近于0,電壓Vce約為0.3V。在這種狀態下,我們可以認為三極管幾乎直接接地。為了使三極管進入飽和導通狀態,基極電流Ib需要達到一定值。例如,若Ib=1mA時,集電極電流Ic可達100mA,此時三極管的電流放大倍數β為100,表明三極管已完全導通。
    NPN三極管
    三極管,下拉電阻
    二、溫度開關控制馬達電路實例
    在實際應用中,三極管常被用作開關管。以溫度開關控制馬達電路為例,
    三極管,下拉電阻
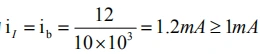
    溫度開關在此相當于一個按鍵開關。當溫度開關導通時,三極管的基極獲得足夠的電流,使其飽和導通,集電極與發射極之間的電壓Vce降至約0.3V。此時,馬達兩端的電壓接近12V,馬達得以正常運轉。
    當溫度開關斷開時,
    三極管,下拉電阻
    基極電流Ib消失,集電極電流Ic也隨之消失,三極管截止。然而,在溫度開關斷開的瞬間,三極管的基極和集電極電流并不會立即降至零,而是會逐漸減少。這段時間內,三極管處于放大區,容易受到外界干擾。因此,在電路設計中通常會加入一個下拉電阻,以提供放電回路并分散能量。
    三、下拉電阻的作用
    1、提供放電回路
    在實際的三極管制造工藝中,不可避免地存在寄生電容,如BE、BC、CE之間的電容C1、C2、C3。這些寄生電容會導致三極管在狀態轉換時產生延時。當下拉電阻R2接入電路后,它為寄生電容提供了一個放電路徑,使得電容上的電荷能夠迅速釋放。電阻阻值越小,電容放電速度越快,從而有效縮短了三極管處于放大區的時間,降低了干擾的風險。
    三極管,下拉電阻
    2、分散能量,防止器件損壞
    當下拉電阻接入電路后,它為能量提供了一個分散通路。例如,在溫度開關斷開時,點A處于懸空狀態,電壓不確定且阻抗極高,容易受到靜電、雷擊等外界干擾,導致器件誤導通甚至永久損壞。當下拉電阻將點A連接到地時,大部分電流會通過電阻流入地,避免了電流全部流入三極管而造成過大的電流沖擊,從而保護了器件。
    四、防止靜電擊穿與MOS管相關問題
    下拉電阻的另一個重要作用是防止靜電擊穿。在靜電作用下,如果沒有放電回路,電荷容易積聚在三極管或MOS管的柵極,導致靜電擊穿。對于MOS管而言,在開關狀態工作時其,柵源電容Cgs需要不斷充放電。如果在斷開電源時,Cgs內部儲存的電荷沒有釋放回路,MOS管的柵極電場會保持很長時間,建立導電溝道的條件不會消失。在下次開機時,這種殘留電場可能導致MOS管立即產生不受控的巨大漏極電流Id,引起MOS管燒壞。而下拉電阻可以為這些電荷提供釋放路徑,避免此類問題的發生。
    三極管,下拉電阻
    〈烜芯微/XXW〉專業制造二極管,三極管,MOS管,橋堆等,20年,工廠直銷省20%,上萬家電路電器生產企業選用,專業的工程師幫您穩定好每一批產品,如果您有遇到什么需要幫助解決的,可以直接聯系下方的聯系號碼或加QQ/微信,由我們的銷售經理給您精準的報價以及產品介紹
    聯系號碼:18923864027(同微信)
     
    QQ:709211280
    相關閱讀