最好看的2018免费观看在线-最好看的2019中文电影-最好免费观看高清视频免费-最近免费中文字幕大全免费版视频

您好!歡迎光臨烜芯微科技品牌官網!

深圳市烜芯微科技有限公司

ShenZhen XuanXinWei Technoligy Co.,Ltd
二極管、三極管、MOS管、橋堆

全國服務熱線:18923864027

  • 熱門關鍵詞:
  • 橋堆
  • 場效應管
  • 三極管
  • 二極管
  • 穩壓二極管伏安特性詳解
    • 發布時間:2024-10-19 17:59:59
    • 來源:
    • 閱讀次數:
    穩壓二極管伏安特性詳解
    穩壓管也是一種晶體二極管,它是利用PN結的擊穿區具有穩定電壓的特性來工作的。穩壓管在穩壓設備和一些電子電路中獲得廣泛的應用。我們把這種類型的二極管稱為穩壓管,以區別用在整流、檢波和其他單向導電場合的二極管。如圖畫出了穩壓管的伏安特性及其符號。
    穩壓二極管伏安特性
    穩壓管的主要參數如下:
    (1)穩定電壓Uz Uz就是PN結的擊穿電壓,它隨工作電流和溫度的不同而略有變化。對于同一型號的穩壓管來說,穩壓值有一定的離散性。
    (2)穩定電流Iz 穩壓管工作時的參考電流值。它通常有一定的范圍,即Izmin——Izmax
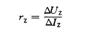
    (3)動態電阻rz 它是穩壓管兩端電壓變化與電流變化的比值,如上圖所示,即這個數值隨工作電流的不同而改變。通常工作電流越大,動態電阻越小,穩壓性能越好。
    穩壓二極管伏安特性
    下圖示出了穩壓管工作時的動態等效電路,圖中二極管為理想二極管。
    穩壓二極管伏安特性
    (4)電壓溫度系數 它是用來說明穩定電壓值受溫度變化影響的系數。不同型號的穩壓管有不同的穩定電壓的溫度系數,且有正負之分。穩壓值低于4v的穩壓管,穩定電壓的溫度系數為負值;穩壓值高于6v的穩壓管,其穩定電壓的溫度系數為正值;介于4V和6V之間的,可能為正,也可能為負。在要求高的場合,可以用兩個溫度系數相反的管子串聯進行補償(如2DW7)。
    (5)額定功耗Pz 前已指出,工作電流越大,動態電阻越小,穩壓性能越好,但是最大工作電流受到額定功耗Pz的限制,超過P2將會使穩壓管損壞。
    選擇穩壓管時應注意:流過穩壓管的電流Iz不能過大,應使Iz≤Izmax,否則會超過穩壓管的允許功耗,Iz也不能太小,應使Iz≥Izmin,否則不能穩定輸出電壓,這樣使輸入電壓和負載電流的變化范圍都受到一定限制。
    〈烜芯微/XXW〉專業制造二極管,三極管,MOS管,橋堆等,20年,工廠直銷省20%,上萬家電路電器生產企業選用,專業的工程師幫您穩定好每一批產品,如果您有遇到什么需要幫助解決的,可以直接聯系下方的聯系號碼或加QQ/微信,由我們的銷售經理給您精準的報價以及產品介紹
     
    聯系號碼:18923864027(同微信)
     
    QQ:709211280

    相關閱讀