MOS管的工作狀態分為以下4個區域,以NMOS為例:
(1)截止區:
當VGS
(2)線性區:
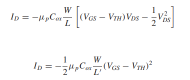
當VGS>Vth, 且0


此時器件工作在線性區,有時也稱為三極管區,式中un為導電溝道中電子的遷移率。 Cox為單位面積的柵氧化層電容,tox為氧化層的厚度。 W和L分別為晶體管導電溝道的寬和長,VGS-Vth稱為過驅動電壓。
(3)飽和區:
當VGS>Vth, 且VDS>VGS-Vth時,溝道電流ID為


隨著VDS增大,當VGS-Vth=VDS時,漏極的反型層逐漸消失,出現預夾斷。 當VDS繼續增大,這夾斷點向源端移動,最終形成由耗盡層構成的夾斷區,MOS管進入飽和區工作。 此時溝道兩端的電壓保持VDS-Vth,而VDS的增加部分降落到夾斷耗盡區內,ID幾乎不變,達到最大。
(4)擊穿區
NMOS 管的漏極—襯底PN結由于VD過高被擊穿。


需要注意的是,對于PMOS器件來說,線性區和飽和區的漏極電流公式需要加負號,VGS,VDS和VGS-Vth都是負的。 由于空穴的遷移率是電子的一半,所以PMOS具有較低的“電流驅動”能力。 換句話說,在工程應用中,只要有可能,我們應該更加傾向于采用NFETs而不是PFETs。
NMOS管I/V特性曲線


這是NMOS管的I/V特性曲線,我們不難看出,
當VGS < Vth時,導電溝道未形成,故處于截止區。
當VGS >Vth, 且0 < VDS < VGS-Vth時,器件工作在線性區(三極管區)。
當VGS >Vth, 且VDS > VGS-Vth時,溝道電流ID基本不隨VDS的變化而變化。此時器件工作在飽和區。可以看到器件工作在飽和區時,漏極電流最大。
當VGS持續增大時,器件被擊穿。
MOSFET的跨導
跨導這個概念是怎么來的呢? 引入這個概念有什么意義呢?
由于在處理信號的過程中,我們要考慮電壓與電流的變化。 因此我們把這個參數定義為漏電流的變化量除以柵極電壓的變化量。 我們稱之為跨導(通常定義在飽和區),用gm表示。 跨到的單位是西門子(S)。


gm代表了器件的靈敏度,對于一個大的gm來講,VGS的微小的變化將會導致漏電流產生很大的變化。


結合在飽和區的漏電流的表達公式,gm也可以表示成這樣的表達式。 以上的每一個表達式,在研究gm隨某一個參數變化,其他參數保持恒定(控制變量)的特性都是有用的。
〈烜芯微/XXW〉專業制造二極管,三極管,MOS管,橋堆等,20年,工廠直銷省20%,上萬家電路電器生產企業選用,專業的工程師幫您穩定好每一批產品,如果您有遇到什么需要幫助解決的,可以直接聯系下方的聯系號碼或加QQ/微信,由我們的銷售經理給您精準的報價以及產品介紹
聯系號碼:18923864027(同微信)
QQ:709211280

