最好看的2018免费观看在线-最好看的2019中文电影-最好免费观看高清视频免费-最近免费中文字幕大全免费版视频

您好!歡迎光臨烜芯微科技品牌官網!

深圳市烜芯微科技有限公司

ShenZhen XuanXinWei Technoligy Co.,Ltd
二極管、三極管、MOS管、橋堆

全國服務熱線:18923864027

  • 熱門關鍵詞:
  • 橋堆
  • 場效應管
  • 三極管
  • 二極管
  • MOS管開關電路圖,MOS管開關電路設計介紹
    • 發布時間:2024-07-23 17:42:27
    • 來源:
    • 閱讀次數:
    MOS管開關電路圖,MOS管開關電路設計介紹
    在設計MOS管開關電路時,就要充分了解MOS管的工作原理。下面咱們來詳細說明。
    MOS管的工作區域
    MOS管有三個工作區域:
    截止區域
    線性(歐姆)區域
    飽和區域
    當 VGS < VTH時,MOS管工作在截止區域。在該區域中,MOS管處于關斷狀態,因為在漏極和源極之間沒有感應溝道。
    對于要感應的溝道和MOS管在線性或飽和區工作,VGS > VTH。
    柵極 - 漏極偏置電壓 VGD將決定MOS管是處于線性區還是飽和區。在這兩個區域中,MOS管處于導通狀態,但差異在線性區域,溝道是連續的,漏極電流與溝道電阻成正比。進入飽和區,當 VDS > VGS – VTH時,通道夾斷,即它變寬導致恒定的漏極電流。
    電子開關
    半導體開關是電子電路中的重要方面之一。像 BJT 或MOS管 之類的半導體器件通常作為開關操作,即它們要么處于 ON 狀態,要么處于 OFF 狀態。
    理想的開關特性
    對于像MOS管這樣的半導體器件,要充當理想的開關,它必須具有以下特性:
    在 ON 狀態下,它可以承載的電流量不應有任何限制。
    在關閉狀態下,阻斷電壓不應有任何限制。
    當器件處于 ON 狀態時,應有零壓降。
    關態電阻應該是無限大的。
    設備的運行速度沒有限制。
    MOS管開關電路
    理想的開關特性圖
    實用開關特性
    但半導體開關并不是我們想的那么理想。在實際情況中,像MOS管這樣的半導體器件具有以下特性。
    在開啟狀態期間,功率處理能力是有限的,即有限的傳導電流。關斷狀態期間的阻斷電壓也受到限制。
    有限的開啟和關閉時間,這限制了開關速度。最大工作頻率也受到限制。
    當器件開啟時,將存在一個有限的導通狀態電阻,從而導致正向壓降。還會有一個有限的關閉狀態電阻,這會導致反向漏電流。
    實際的開關在開啟狀態、關閉狀態以及過渡狀態(從開啟到關閉或從關閉到開啟)期間都會經歷斷電。
    MOS管開關電路
    實用開關特性圖
    MOS開關電路實例1
    在下圖所示的電路中,增強型 N 溝道MOS管用于切換簡單的燈“ON”和“OFF”(也可以是 LED)。
    柵極輸入電壓VGS被帶到適當的正電壓電平以打開器件,因此燈負載要么“打開”,(VGS= +ve),要么處于將器件“關閉”的零電壓電平,(VGS = 0V)。
    如果燈的電阻負載要由電感負載(如線圈、螺線管或繼電器)代替,則需要與負載并聯一個“續流二極管”,以保護MOS管免受任何自生反電動勢的影響。
    MOS管開關電路
    MOS開關電路
    上面顯示了一個非常簡單的電路,用于切換電阻負載,例如燈或 LED。但是,當使用功率MOS管切換感性或容性負載時,需要某種形式的保護來防止MOS管器件受損。驅動感性負載與驅動容性負載的效果相反。
    例如,沒有電荷的電容是短路的,導致高“涌入”電流,當我們從感性負載上移除電壓時,隨著磁場崩潰,我們會產生很大的反向電壓,從而導致感應繞組中的感應反電動勢。
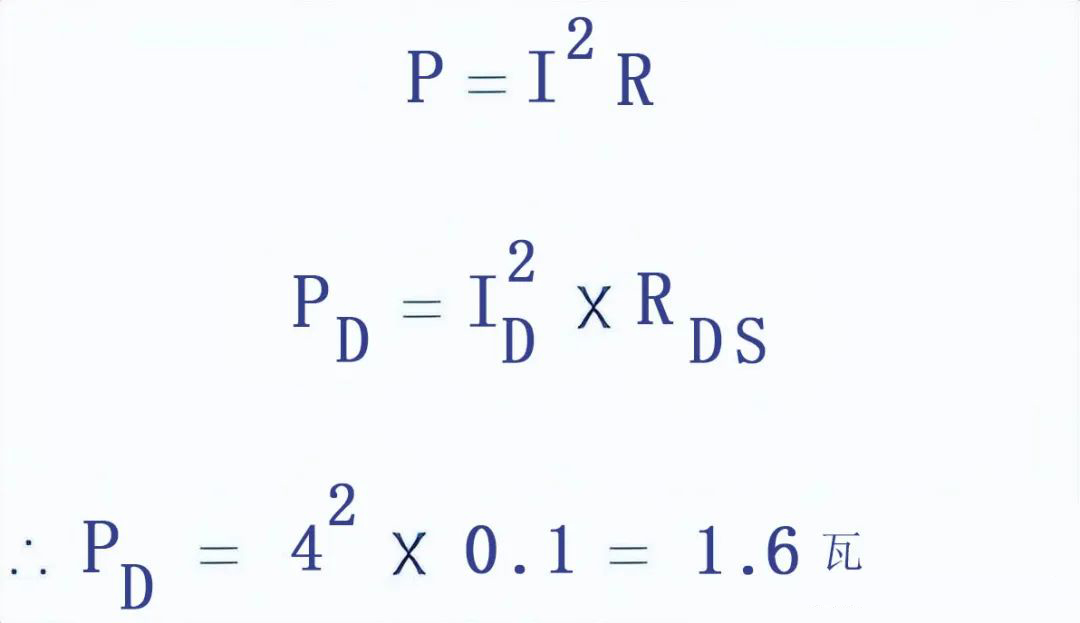
    MOS開關電路功耗計算
    我們假設燈的額定電壓為 6v、24W 并且完全“開啟”,標準MOS管的通道導通電阻 ( RDS(on) ) 值為 0.1ohms。計算MOS管開關器件的功耗。
    流過燈的電流計算如下:
    MOS管開關電路
    MOS開關電路電流計算公式
    那么MOS管中消耗的功率將為:
    MOS管開關電路
    MOS管開關電路功耗計算公式
    P溝道MOS管開關電路實例
    在上圖我們將 N 溝道 MOS管視為開關,MOS管放置在負載和地之間。這也允許 MOS管的柵極驅動或開關信號以地為參考(低側開關)。但在某些應用中,如果負載直接接地,我們需要使用 P 溝道增強型 MOS管。如下圖所示。
    MOS管開關電路
    P溝道MOS管開關電路
    在這種情況下,MOS管開關連接在負載和正電源軌(高端開關)之間,就像我們使用 PNP 晶體管一樣。
    在 P 溝道器件中,漏極電流的常規流動方向為負方向,因此施加負柵源電壓以將晶體管“導通”。
    這是因為 P 溝道MOS管是“倒置”的,其源極端子連接到正電源+VDD。然后,當開關變為低電平時,MOS管變為“ON”,當開關變為高電平時,MOS管變為“OFF”。
    P 溝道增強型MOS管開關的這種倒置連接允許我們將其與 N 溝道增強型 MOS管串聯連接,以產生互補或 CMOS 開關器件,如上圖所示為跨雙電源。
    MOS開關電路實例2
    了解了MOS管的工作原理及其工作區域,就很容易知道MOS管是如何作為開關工作的。通過考慮一個簡單的示例電路,將了解 MOS管作為開關的操作。
    MOS管開關電路
    MOS開關電路圖
    這是一個簡單的電路,其中 N 溝道增強模式MOS管將打開或關閉燈。為了將MOS管用作開關,它必須工作在截止和線性(或三極管)區域。
    假設設備最初是關閉的。柵極和源極之間的電壓,即 VGS適當地設為正值(從技術上講,VGS > VTH),MOSFET 進入線性區域并且開關導通。這使燈打開。
    如果輸入柵極電壓為 0V(或技術上 < VTH),則MOS管進入截止狀態并關閉。這反過來會使燈關閉。
    MOS開關電路實例3
    考慮一種情況,如果你想使用微控制器對 12W LED (12V @ 1A) 進行數字控制。當你按下連接到微控制器的按鈕時,LED 應打開。當你再次按下相同的按鈕時,LED 應熄滅。
    很明顯,你不能在微控制器的幫助下直接控制 LED。這個時候你就需要一種設備來彌合微控制器和 LED 之間的差距。
    該設備應從微控制器接收控制信號(通常該信號的電壓在微控制器的工作電壓范圍內,例如 5V)并為 LED 供電,在這種情況下來自 12V 電源。
    而這個設備是MOS管,上述場景的設置如下電路所示。
    MOS管開關電路
    MOS開關電路圖
    當邏輯 1(假設為 5V 微控制器,邏輯 1 為 5V,邏輯 0 為 0V)提供給MOS管的柵極時,它打開并允許漏極電流流動。結果,LED 亮起。
    類似地,當 MOS管的柵極為邏輯 0 時,它會關閉,進而關閉 LED。
    因此,你可以通過微控制器和MOS管的組合對大功率設備進行數字控制。
    MOS管開關電路需要注意的因素---MOS管的功耗
    需要考慮的一個重要因素是MOS管的功耗。考慮一個漏源電阻為 0.1Ω 的MOS管。在上述情況下,即由 12V 電源驅動的 12W LED 將導致 1A 的漏極電流。
    因此,MOS管消耗的功率為 P = I 2 * R = 1 * 0.1 = 0.1W。
    這看起來是一個比較低的值,但如果你使用相同的 MOS管驅動電機,情況會略有不同。電機的啟動電流(也稱為浪涌電流)會非常高。
    MOS管開關電路
    MOS管驅動電路圖
    因此,即使 RDS 為 0.1Ω,電機啟動期間消耗的功率仍會非常高,這可能會導致熱過載。因此,RDS將是你的應用選擇 MOS管的關鍵參數。
    此外,在驅動電機時,反電動勢是設計電路時必須考慮的重要因素。
    使用MOS管驅動電機的主要優點之一是輸入 PWM 信號可用于平滑控制電機的速度。
    MOS開關電路實例4
    下圖顯示了一個使用 n 溝道增強型MOS管作為開關的簡單電路。此處,MOS管的漏極端子 (D)通過漏極電阻RD連接到電源電壓 VS  ,而其源極端子 (S) 接地。此外,它在其柵極端子 (G) 處施加輸入電壓Vi ,而輸出 Vo從其漏極汲取。
    MOS管開關電路
    MOS開關電路圖
    現在考慮施加的Vi為 0V 的情況,這意味著MOS管的柵極端子未偏置。因此,MOS管將關閉并在其截止區域中工作,在該區域中,它為電流提供了一個高阻抗路徑,這使得 IDS幾乎等于零。
    結果,即使RD上的電壓降也將變為零,因此輸出電壓Vo將變得幾乎等于VS。接下來,考慮施加的輸入電壓Vi大于器件的閾值電壓VT的情況。在這種情況下,MOS管將開始導通.
    如果 V提供的S大于器件的夾斷電壓 VP(通常會如此),則MOS管開始在其飽和區工作。這進一步意味著該器件將為恒定 IDS的流動提供低電阻路徑,幾乎就像短路一樣。結果,輸出電壓將被拉向低電壓電平,理想情況下為零。
    從上面的分析可以看出,輸出電壓在 VS和零之間變化,這取決于所提供的輸入分別是小于還是大于 VT。因此,可以得出結論,當使MOS管s在截止和飽和工作區域之間工作時,可以使MOS管起電子開關的作用。
    n 溝道耗盡型 MOS管開關電路
    與 n 溝道增強型MOS管的情況類似,n 溝道耗盡型 MOS管也可用于執行開關動作,如下圖所示。這種電路的行為與上面的解釋幾乎相同,除了事實上,對于截止,柵極電壓 VG需要設為負值,并且應小于 -V。
    MOS管開關電路
    n 溝道耗盡型 MOS管開關電路圖
    p 溝道增強型MOS管開關電路
    下圖顯示了將 p 溝道增強型MOS管用作開關的情況。這里可以看出,電源電壓 VS施加在其源極端子 (S) 上,柵極端子提供輸入電壓 Vi,而漏極端子通過電阻RD接地。
    MOS管開關電路
    p 溝道增強型MOS管開關電路圖
    此外,從MOS管的漏極端子通過RD獲得電路Vo的輸出。在 p 型器件的情況下,傳導電流將來自空穴,因此會從源極流向漏極 ISD,而不是從漏極流向源極(IDS) 與 n 型器件一樣。
    現在,讓我們假設只有MOS管的柵極電壓 VG的輸入電壓變低。這會導致MOS管開啟并為電流提供低(幾乎可以忽略不計)電阻路徑。
    結果,大電流流過器件,導致電阻 RD上的電壓降很大。這反過來導致輸出幾乎等于電源電壓VS 。接下來,考慮Vi變高的情況,即當Vi將大于器件的閾值電壓(這些器件的 VT將為負值)。在這種情況下MOS管將關閉并為電流提供高阻抗路徑。這導致幾乎為零的電流導致輸出端子處的電壓幾乎為零。
    p 溝道耗盡型MOS管開關電路
    與此類似, p 溝道耗盡型MOS管也可用于執行開關動作,如下圖所示。該電路的工作原理與上述電路幾乎相似,只是此處的截止區域為僅當 Vi = VG為正且超過器件的閾值電壓時才會出現。
    MOS管開關電路
    p 溝道耗盡型MOS管開關電路圖
    〈烜芯微/XXW〉專業制造二極管,三極管,MOS管,橋堆等,20年,工廠直銷省20%,上萬家電路電器生產企業選用,專業的工程師幫您穩定好每一批產品,如果您有遇到什么需要幫助解決的,可以直接聯系下方的聯系號碼或加QQ/微信,由我們的銷售經理給您精準的報價以及產品介紹
     
    聯系號碼:18923864027(同微信)
    QQ:709211280

    相關閱讀