最好看的2018免费观看在线-最好看的2019中文电影-最好免费观看高清视频免费-最近免费中文字幕大全免费版视频

您好!歡迎光臨烜芯微科技品牌官網!

深圳市烜芯微科技有限公司

ShenZhen XuanXinWei Technoligy Co.,Ltd
二極管、三極管、MOS管、橋堆

全國服務熱線:18923864027

  • 熱門關鍵詞:
  • 橋堆
  • 場效應管
  • 三極管
  • 二極管
  • rc充電時間計算公式,RC充電放電計算介紹
    • 發布時間:2024-06-11 16:51:01
    • 來源:
    • 閱讀次數:
    rc充電時間計算公式,RC充電放電計算介紹
    rc充電時間計算圖解
    理論計算:
    有很多人的RC充放電時間約等于R*C;
    完整的公式應該是:t/RC=-ln(Vs-Vc)/Vs.
    t代表時間
    R是電阻值,單位為歐姆
    C為電容容值,單位是F
    Vs為R端輸入的電壓。
    Vc為需要上升的電壓。
    通過公式,可以計算出一個10K電阻對1uF電容充電到4V需要的時間約為16ms。
    仿真:
    電路如下
    rc充電時間計算 公式
    仿真波形如下,上升時間和計算的一樣。
    rc充電時間計算 公式
    RC充電放電計算
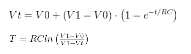
    1、電容充電放電時間計算公式:
    rc充電時間計算 公式
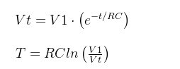
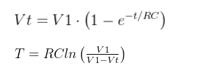
    RC電路的時間常數:τ=RC
    V0 為電容初始電壓值;
    V1 為電容充滿電壓值;
    Vt 為任意時刻的電壓值;
    E 為電源電壓;
    當t= 1RC時,電容電壓=0.63V1;
    當t= 2RC時,電容電壓=0.86V1;
    當t= 3RC時,電容電壓=0.90V1;
    當t= 4RC時,電容電壓=0.98V1;
    當t= 5RC時,電容電壓=0.99V1;
    經過3~5個RC后,充電過程基本結束。
    2、充電(電壓為E的電源通過R向初值為0的電容C充電,V0=0,V1=E,故充到t時刻電容上的電壓為)
    rc充電時間計算 公式
    3、放電(初始電壓為E的電容C通過R放電 , V0=E,V1=0,故放到t時刻電容上的電壓為)
    rc充電時間計算 公式
    〈烜芯微/XXW〉專業制造二極管,三極管,MOS管,橋堆等,20年,工廠直銷省20%,上萬家電路電器生產企業選用,專業的工程師幫您穩定好每一批產品,如果您有遇到什么需要幫助解決的,可以直接聯系下方的聯系號碼或加QQ/微信,由我們的銷售經理給您精準的報價以及產品介紹
     
    聯系號碼:18923864027(同微信)
    QQ:709211280
    相關閱讀