最好看的2018免费观看在线-最好看的2019中文电影-最好免费观看高清视频免费-最近免费中文字幕大全免费版视频

您好!歡迎光臨烜芯微科技品牌官網!

深圳市烜芯微科技有限公司

ShenZhen XuanXinWei Technoligy Co.,Ltd
二極管、三極管、MOS管、橋堆

全國服務熱線:18923864027

  • 熱門關鍵詞:
  • 橋堆
  • 場效應管
  • 三極管
  • 二極管
  • iv特性曲線,mos管的iv特性曲線介紹
    • 發布時間:2024-04-26 19:26:45
    • 來源:
    • 閱讀次數:
    iv特性曲線,mos管的iv特性曲線介紹
    iv特性曲線
    iv特性曲線-伏安特性曲線,即電流-電壓曲線。iv特性曲線定義了電子設備的工作特性。這里的電壓指的是源漏偏壓,電流指的是漏電極電流。iv特性曲線是雙電極器件體系性能模擬的主要目的。
    IV特性曲線,它是的縮寫電氣設備或部件的電流 - 電壓特性曲線或簡稱IV曲線是一組圖形曲線,用于定義其在電路中的操作。顧名思義,IV特性曲線顯示流過電子器件的電流與其端子上施加的電壓之間的關系。
    IV特性曲線通常用作工具確定和理解組件或設備的基本參數,并且還可以用于在電子電路中對其行為進行數學建模。但與大多數電子設備一樣,有無數個IV特征曲線代表各種輸入或參數,因此我們可以在同一圖表上顯示一系列曲線或一組曲線來表示各種值。
    mos管的iv特性曲線
    iv特性曲線
    MOSFET的輸出特性
    iv特性曲線
    iv特性曲線
    iv特性曲線
    iv特性曲線
    iv特性曲線
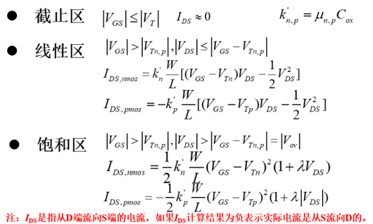
    MOS管電流電壓方程
    iv特性曲線
    〈烜芯微/XXW〉專業制造二極管,三極管,MOS管,橋堆等,20年,工廠直銷省20%,上萬家電路電器生產企業選用,專業的工程師幫您穩定好每一批產品,如果您有遇到什么需要幫助解決的,可以直接聯系下方的聯系號碼或加QQ/微信,由我們的銷售經理給您精準的報價以及產品介紹
     
    聯系號碼:18923864027(同微信)
    QQ:709211280
    相關閱讀