最好看的2018免费观看在线-最好看的2019中文电影-最好免费观看高清视频免费-最近免费中文字幕大全免费版视频

您好!歡迎光臨烜芯微科技品牌官網!

深圳市烜芯微科技有限公司

ShenZhen XuanXinWei Technoligy Co.,Ltd
二極管、三極管、MOS管、橋堆

全國服務熱線:18923864027

  • 熱門關鍵詞:
  • 橋堆
  • 場效應管
  • 三極管
  • 二極管
  • SiC MOSFET橋臂串擾問題,誤開通詳解
    • 發布時間:2023-04-13 17:07:36
    • 來源:
    • 閱讀次數:
    SiC MOSFET橋臂串擾問題,誤開通詳解
    相較于傳統的Si功率器件,SiC MOSFET具有更小的導通電阻,更快的開關速度,使得系統損耗大幅降低,效率提升,體積減小,從而實現變換器的高效高功率密度化,因此廣泛適用于5G數據中心通信電源,新能源汽車車載充電機,電機驅動器,工業電源,直流充電樁,光伏,UPS等各類能源變換系統中。
    然而這種快速的暫態過程會使SiC MOSFET的開關性能對回路的寄生參數更加敏感,對驅動設計要求更加嚴格。以分立的SiC MOSFET為例,根據電流不同其dv/dt通常可以達10~60V/ns。功率回路中高速變化的dv/dt通過寄生電容耦合到驅動回路會使得門極振蕩甚至誤開通,從而導致橋臂直通,器件損毀。
    SiC MOSFET橋臂串擾問題
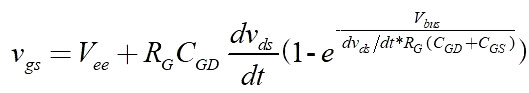
    如圖1所示為SiC MOSFET的半橋應用電路,上管QH開通過程會在橋臂中點產生高速變化的dv/dt,下管Vds電壓變化通過米勒電容CGD產生位移電流,從而在門極驅動電阻和寄生電感上產生正的電壓干擾,當電壓干擾使得門極電壓超過器件的閾值電壓就可能導致原本關斷的下管誤開通。
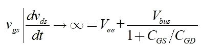
    為了分析方便,暫時忽略寄生電感的影響,由此可以得到上管開通過程中下管門極電壓為:
    SiC MOSFET 橋臂串擾 誤開通
    其中RG=Rg_ext+Rg_int ,Vee為關斷電壓,當dvds/dt趨向無窮大時,門極電壓極限值為:
    SiC MOSFET 橋臂串擾 誤開通
    因此,抑制電壓串擾的方法有:
    (1) 減小門極驅動電阻RG 或者門極寄生電感Lg  
    (2)有源米勒鉗位
    (3) 負壓關斷  
    (4) 增加柵源電容CGS 或者減小米勒電容CGD
    SiC MOSFET 橋臂串擾 誤開通
    圖1 SiC MOSFET橋臂串擾問題
    串擾抑制策略
    (1) 減小門極驅動電阻通常受限于器件應力水平和dv/dt速度,過小的驅動電阻使得dv/dt過大會加劇米勒電容引入的位移電流也可能導致門極電壓尖峰不減小反而增大,因此需要在滿足應力的情況下合理選擇驅動電阻。減小驅動回路寄生電感需要優化PCB Layout,盡可能減小驅動元件到SiC MOSFET間的距離。
    (2) 有源米勒鉗位電路如圖2所示,對于關斷的器件如果門極產生正的電壓干擾超過設定閾值Vth(MC),開關管SMC導通,為位移電流提供低阻抗放電回路,從而抑制開通串擾。
    但是,鉗位回路依然包括器件內部電阻和連接點到MOSFET內寄生電感,當這部分壓降較大時,有源鉗位的作用會減弱,有可能器件內部仍然發生誤開通。因此只有在SiC器件內部電阻較小時才能有不錯的抑制效果,采用有源鉗位可以起到很好的抑制串擾作用。
    SiC MOSFET 橋臂串擾 誤開通
    圖2 有源米勒鉗位
    (3) 如圖3所示,給出了一直關斷的下管QL在上管QH開通關斷過程中的門極電壓波形,可知負壓關斷的作用相當于把整個門極波形下移了Vee ,使得正的電壓尖峰遠離器件閾值電壓,從而避免了上管開通時下管誤開通,但同時使得上管關斷時下管負壓尖峰增大。SiC MOSFET的允許負壓通常不超過-8V,因此需要合理選擇負壓關斷。
    SiC MOSFET 橋臂串擾 誤開通
    圖3 零壓與負壓關斷時下管門極波形
    (4) 在GS兩端并聯電容來增大CGS ,可以很好的抑制電壓串擾作用,但是會一定層度上減緩開通速度,更嚴重的是對于并聯支路內部寄生電感較大時有可能會增加門極寄生振蕩。因此最適合的方法是在器件層面增加柵源電容CGS 或者減小米勒電容CGD。
    為了說明器件本身防止誤開通抗干擾能力,把dvds/dt趨向無窮大時導致的門極電壓變化作為綜合評價指標,即ΔVgs=ΔVds*CGD/(CGD+CGS), ΔVgs越小,意味著門極誤開通風險更小,抗干擾能力更強。
    〈烜芯微/XXW〉專業制造二極管,三極管,MOS管,橋堆等,20年,工廠直銷省20%,上萬家電路電器生產企業選用,專業的工程師幫您穩定好每一批產品,如果您有遇到什么需要幫助解決的,可以直接聯系下方的聯系號碼或加QQ/微信,由我們的銷售經理給您精準的報價以及產品介紹
     
    聯系號碼:18923864027(同微信)
    QQ:709211280

    相關閱讀