最好看的2018免费观看在线-最好看的2019中文电影-最好免费观看高清视频免费-最近免费中文字幕大全免费版视频

您好!歡迎光臨烜芯微科技品牌官網!

深圳市烜芯微科技有限公司

ShenZhen XuanXinWei Technoligy Co.,Ltd
二極管、三極管、MOS管、橋堆

全國服務熱線:18923864027

  • 熱門關鍵詞:
  • 橋堆
  • 場效應管
  • 三極管
  • 二極管
  • 半導體器件的結溫理解解析
    • 發布時間:2023-01-03 18:04:59
    • 來源:
    • 閱讀次數:
    半導體器件的結溫理解解析
    結溫(Junction Temperature)
    結溫是處于電子設備中實際半導體芯片(晶圓、裸片)的最高溫度。它通常高于外殼溫度和器件表面溫度。結溫可以衡量從半導體晶圓到封裝器件外殼間的散熱所需時間以及熱阻。
    最高結溫(Maximum junction temperature),器件結溫越低越好。
    最高結溫會在器件的datasheet數據表中給出,可以用來計算在給定功耗下器件外殼至環境的熱阻。這可以用來選定合適的散熱裝置。
    如果器件結溫超過最高工作溫度,器件中的晶體管就可能會被破壞,器件也隨即失效,所以應采取各種途徑降低結溫或是讓結溫產生的熱量盡快散發至環境中。
    首先必須保證芯片的結溫在其可以承受的范圍之內。工業級產品一般規定范圍是-20~85℃,軍品或者汽車級能達到-40~125℃。
    結溫為:熱阻×輸入功率+環境溫度,因此如果提高接合溫度的最大額定值,即使環境溫度非常高,也能正常工作。
    一個芯片結溫的估計值Tj,可以從下面的公式中計算出來:
    Tj=Ta+( R θJA × PD )
    Ta = 封裝的環境溫度 ( o C )
    R θJA = P-N結至環境的熱阻 ( o C / W ) (數據手冊一般會提供)
    PD = 封裝的功耗即功率 (W)  芯片功耗 = Pin-Pout
    關于PD,例如如果輸入電流為12V,采用78M05進行穩壓,穩壓到5V,最大輸出電流為0.3A ,則78M05消耗的(最大)功耗為P=(12V-5V)x 0.3A=2.1W
    推薦以Tj 的最高容許溫度的80%為基準來進行熱量設計。
    降低結溫的途徑:
    1、減少器件本身的熱阻;
    2、良好的二次散熱機構;
    3、減少器件與二次散熱機構安裝介面之間的熱阻;
    4、控制額定輸入功率;
    5、降低環境溫度;
    結溫理解
    通常,芯片的結溫(Junction Temperature)(Tj)每上升10℃,器件的壽命就會大約減為一半,故障率也會大約增大2倍。Si 半導體在Tj 超過了175℃時就有可能損壞。
    由此,使用時就必須極力降低Tj,以容許溫度(通常80~100℃)為目標進行熱量設計。但是,對于功率器件那樣的高輸出 元件,要把Tj 抑制在容許溫度以下其實是比較困難的,所以通常以規格書里揭載的最高容許溫度的80%為基準來設計Tj。
    另外、即使器件的封裝相同,根據器件的芯片尺寸、 引線框架的定位尺寸、實裝電路板的規格等不同、熱阻值也會發生變化,需要特別注意。
    定義
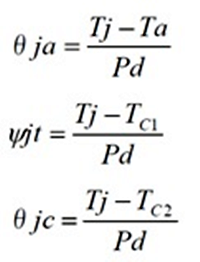
    半導體封裝的熱阻是指器件在消耗了1[W]功率時,用芯片和封裝、周圍環境之間的溫度差按以下公式進行計算。
    器件 芯片 結溫
    其中
    器件 芯片 結溫
    器件 芯片 結溫
    結溫(Tj)的驗證方法(ψjt 已知)
    用以下的方法可以估算結溫(Tj)。
    先求IC 的功率(P)。
    在實際組裝時的環境條件下,用放射溫度計或熱電偶來測量封裝表面溫度Tc1。
    把測得的Tc1 代入下式后,就可以算出了。
    器件 芯片 結溫
    如之前講述的、推薦以Tj 的最高容許溫度的80%為基準來進行熱量設計。
    注)θja,ψjt 是實裝到以JEDEC 規格為基準的電路板上時的數值,但是根據引腳類型的尺寸、電路板的材質和尺寸、電路板上的布線比率的不同,多少會有些變化,要特別注意。
    〈烜芯微/XXW〉專業制造二極管,三極管,MOS管,橋堆等,20年,工廠直銷省20%,上萬家電路電器生產企業選用,專業的工程師幫您穩定好每一批產品,如果您有遇到什么需要幫助解決的,可以直接聯系下方的聯系號碼或加QQ/微信,由我們的銷售經理給您精準的報價以及產品介紹
     
    聯系號碼:18923864027(同微信)
    QQ:709211280

    相關閱讀