最好看的2018免费观看在线-最好看的2019中文电影-最好免费观看高清视频免费-最近免费中文字幕大全免费版视频

您好!歡迎光臨烜芯微科技品牌官網!

深圳市烜芯微科技有限公司

ShenZhen XuanXinWei Technoligy Co.,Ltd
二極管、三極管、MOS管、橋堆

全國服務熱線:18923864027

  • 熱門關鍵詞:
  • 橋堆
  • 場效應管
  • 三極管
  • 二極管
  • 兩級電流并聯負反饋放大電路介紹
    • 發布時間:2022-12-15 16:47:10
    • 來源:
    • 閱讀次數:
    兩級電流并聯負反饋放大電路介紹
    兩級電流并聯負反饋放大電路
    圖(a)是兩級電流并聯負反饋電路,圖(c)是它的交流等效電路方框圖。
    電流并聯 負反饋 電路
    1、反饋類型的判斷
    (1)找反饋元件。由圖可見,R f、Re2是聯系輸出回路和輸入回路的元件,故為反饋元件,由它們組成反饋網絡。
    (2)判斷是電壓反饋還是電流反饋。因反饋信號取自非電壓輸出端,故為電流反饋。
    (3)判斷是串聯反饋還是并聯反饋。因反饋信號引至共射電路的基極,故為并聯反饋。
    (4)判斷反饋極性。假定Ui為 +(對地),經兩級共射電路放大后Ue2為 - ,則通過Rf的電流I f的方向如圖(c)中所示,它對Ii起了分流作用,從而使有效輸入信號減弱,故為負反饋。
    綜上判斷結果,該電路為電流并聯負反饋放大電路。
    2、反饋對輸出電量的穩定作用
    當Ii一定,由于某種原因(如β或RL變化)引起輸出電流發生變化時,則通過反饋網絡R f、Re2的作用將產生如下自動調節過程:
    β2 ↑→Io(Ie2)↑→I f↑→ Ib↓→ Io↓
    其效果使輸出電流趨于穩定。
    可見,電流負反饋能夠穩定輸出電流。
    3、信號源內阻對并聯反饋效果的影響
    對并聯負反饋,有Ib = Ii - I f,若信號源內阻 RS = ∞,則Ii恒定,I f的增加量全部轉化為Ib的減小量,反饋效果最強;若RS較小,則隨著I f 的增加,Ii 也有所增加,Ib 的減小量被縮減,負反饋效果減弱。因此,并聯負反饋適用于信號源內阻RS大的場合。
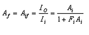
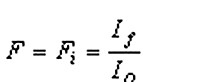
    4、放大倍數和反饋系數的含義
    電流并聯負反饋電路中,XI 、 Xo 、Xf 等均為電流量,故:
    電流并聯 負反饋 電路
    電流并聯 負反饋 電路
    AIf、FI分別稱為閉環電流放大倍數和電流反饋系數。
    〈烜芯微/XXW〉專業制造二極管,三極管,MOS管,橋堆等,20年,工廠直銷省20%,上萬家電路電器生產企業選用,專業的工程師幫您穩定好每一批產品,如果您有遇到什么需要幫助解決的,可以直接聯系下方的聯系號碼或加QQ/微信,由我們的銷售經理給您精準的報價以及產品介紹
     
    聯系號碼:18923864027(同微信)
    QQ:709211280

    相關閱讀