最好看的2018免费观看在线-最好看的2019中文电影-最好免费观看高清视频免费-最近免费中文字幕大全免费版视频

您好!歡迎光臨烜芯微科技品牌官網!

深圳市烜芯微科技有限公司

ShenZhen XuanXinWei Technoligy Co.,Ltd
二極管、三極管、MOS管、橋堆

全國服務熱線:18923864027

  • 熱門關鍵詞:
  • 橋堆
  • 場效應管
  • 三極管
  • 二極管
  • 雙脈沖測試電路原理及波形示意圖介紹
    • 發布時間:2022-11-18 18:12:16
    • 來源:
    • 閱讀次數:
    雙脈沖測試電路原理及波形示意圖介紹
    功率器件的很多動態參數可以從器件的數據手冊中獲取,但是器件手冊只給出特定測試條件下的動態參數。當功率回路電壓和電流、驅動回路的電壓、電阻和外部電容等參數變化時,器件的開關時間也將產生變化,因此在設計時有必要對器件的特定工況進行雙脈沖測試,獲取更加真實的性能。
    雙脈沖測試有以下作用:
    (1) 對比不同產品的參數;
    (2) 評估驅動電路的功能和性能;
    (3) 獲取 SiC MOSFET 在開通和關斷過程中的主要參數,以評估柵極電阻取值是否合適;
    (4) 開通和關斷過程是否有不合適的振蕩;
    (5) 評估二極管的反向恢復特性和安全裕量;
    (6) 測試 SiC MOSFET 的電壓尖峰;
    (7) 評估 SiC MOSFET 并聯均流特性;
    (8) 測量母排的雜散電感。
    雙脈沖測試電路
    雙脈沖測試電路
    其中 RG,int為內部柵極電阻,RG,ext為外部柵極電阻,CGS柵極-源極電容,CGD為柵極-漏極電容,CDS為漏極-源極電容,LG、LD和 LS分別為柵極、漏極和源極的引線電感,CD1為續流二極管結電容,Lloop為功率主回路寄生電感,L 為負載電感。
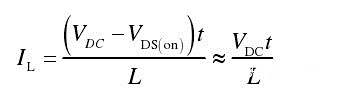
    在第一個脈沖信號來臨之前,電感電流為 0,SiC MOSFET 阻斷并承受直流母線電壓。直到 t1時刻,器件開始導通,電感電流按照式規律變化,即隨時間按線性規律增加。
    雙脈沖測試電路
    式中 VDS(on)---SiC MOSFET 導通壓降;
    t2 時刻,開關管開始關斷并換流至二極管 D1,流經開關管的電流變為 0,負載電感的電流經過二極管 D1續流。
    由于續流階段電流回路存在一定的電阻,電流將會有一定程度的減小,但此階段極短,而且寄生電阻量很小,因此電流減小量可以忽略,近似認為 t2和 t3時刻電流相等。
    t3 時刻,第二個脈沖信號使開關管開通,續流二極管開始關斷,電感電流換流至開關管并繼續按照線性規律增加。
    t4 時刻,開關管再次關斷,電流從開關管換流至續流二極管 D1,雙脈沖測試結束。
    〈烜芯微/XXW〉專業制造二極管,三極管,MOS管,橋堆等,20年,工廠直銷省20%,上萬家電路電器生產企業選用,專業的工程師幫您穩定好每一批產品,如果您有遇到什么需要幫助解決的,可以直接聯系下方的聯系號碼或加QQ/微信,由我們的銷售經理給您精準的報價以及產品介紹
     
    聯系號碼:18923864027(同微信)
    QQ:709211280

    相關閱讀