最好看的2018免费观看在线-最好看的2019中文电影-最好免费观看高清视频免费-最近免费中文字幕大全免费版视频

您好!歡迎光臨烜芯微科技品牌官網!

深圳市烜芯微科技有限公司

ShenZhen XuanXinWei Technoligy Co.,Ltd
二極管、三極管、MOS管、橋堆

全國服務熱線:18923864027

  • 熱門關鍵詞:
  • 橋堆
  • 場效應管
  • 三極管
  • 二極管
  • MOS管,MOS管參數μCox計算方法介紹
    • 發布時間:2022-11-10 16:20:32
    • 來源:
    • 閱讀次數:
    MOS管,MOS管參數μCox計算方法介紹
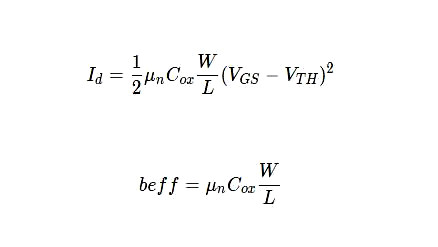
    一、MOS管平方關系模型
    MOS管溝道飽和區電流ID(不考慮非理想效應)
    MOS管 參數
    二、如何進行仿真得到手算參數
    首先在原理圖中放上器件,以NMOS為例子,同時分別設置好NMOS溝道長度和寬度,還有將對應器件電壓也設置成變量,設成變量方面后面仿真條件下修改參數。
    MOS管 參數
    MOS管 參數
    MOS管 參數
    關注的參數
    需要關注的參數是beff和betaeff,其中beff就是平方率關系對應的理想參數(完全不考慮溝道調制效應等,是可以計算過后發現,用得到的閾值電壓還有Id算出來完全符合平方率關系對應的理想值),betaeff是修正的跨導模型參數,畢竟現在模型不是以前的那種簡單模型了。
    MOS管溝道飽和區電流ID
    MOS管 參數
    〈烜芯微/XXW〉專業制造二極管,三極管,MOS管,橋堆等,20年,工廠直銷省20%,上萬家電路電器生產企業選用,專業的工程師幫您穩定好每一批產品,如果您有遇到什么需要幫助解決的,可以直接聯系下方的聯系號碼或加QQ/微信,由我們的銷售經理給您精準的報價以及產品介紹
     
    聯系號碼:18923864027(同微信)
    QQ:709211280
    相關閱讀