最好看的2018免费观看在线-最好看的2019中文电影-最好免费观看高清视频免费-最近免费中文字幕大全免费版视频

您好!歡迎光臨烜芯微科技品牌官網!

深圳市烜芯微科技有限公司

ShenZhen XuanXinWei Technoligy Co.,Ltd
二極管、三極管、MOS管、橋堆

全國服務熱線:18923864027

  • 熱門關鍵詞:
  • 橋堆
  • 場效應管
  • 三極管
  • 二極管
  • 連續模式PFC功率MOSFET電流有效值,平均值計算介紹
    • 發布時間:2022-11-02 18:03:37
    • 來源:
    • 閱讀次數:
    連續模式PFC功率MOSFET電流有效值,平均值計算介紹
    在PFC電路中,常用的結構是BOOST電路,功率MOSFET工作在開關狀態,將輸入的電流斬波為和輸入正弦波電壓同相位的、具有正弦波包絡線的開關電流波形,從而提高輸入的功率因數,減小輸入諧波分量。
    有源功率因數校正PFC電路具有二種工作的模式:連續導通模式CCM和非連續導通模式DCM,控制的方式也各不相同。本文主要推導在連續導通模式CCM下,PFC電路功率MOSFET的電流有效值、平均值計算,以及輸出二極管的電流有效值、平均值計算。連續導通模式CCM下,PFC電路輸入電感的電流波形如圖1所示。
    PFC MOSFET 有效值 平均值
    圖1:連續導通模式PFC的電感電流
    可以看到,在每個開關周期結束的時候,輸入電感的電流沒有降到0,這樣,在下一個開關周期開始、功率MOSFET導通時,輸入電感的電流就會從一定值開始激磁,隨時間線性增加,這種導通模式稱為:連續導通模式、CCM模式。
    在連續導通模式CCM工作的PFC電路中,功率MOSFET電流波形包絡線,近視為輸入正弦電流波形,如圖2所示,基于這個波形,來計算功率MOSFET電流的有效值。
    PFC MOSFET 有效值 平均值
    圖2:功率MOSFET漏極電流的近視包絡線
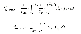
    功率MOSFET電流的有效值為:
    PFC MOSFET 有效值 平均值
    其中,D1為某一個開關周期的占空比,Ts為開關周期,fs為開關頻率。
    輸入正弦電壓、輸入正弦電流值為:
    PFC MOSFET 有效值 平均值
    PFC MOSFET 有效值 平均值
    功率MOSFET電流平均值、輸出二極管電流平均值的計算方法和上面類似,分別計算如下。
    功率MOSFET的電流平均值為:
    PFC MOSFET 有效值 平均值
    實際應用中,功率MOSFET電流的有效值用來計算其導通損耗。根據功率損耗的分配值,使用導通損耗,計算和選取功率MOSFET的導通電阻RDSON;使用開關損耗,計算和選取功率MOSFET的寄生電容,從而初步確定功率MOSFET的選型。
    〈烜芯微/XXW〉專業制造二極管,三極管,MOS管,橋堆等,20年,工廠直銷省20%,上萬家電路電器生產企業選用,專業的工程師幫您穩定好每一批產品,如果您有遇到什么需要幫助解決的,可以直接聯系下方的聯系號碼或加QQ/微信,由我們的銷售經理給您精準的報價以及產品介紹
     
    聯系號碼:18923864027(同微信)
    QQ:709211280

    相關閱讀