最好看的2018免费观看在线-最好看的2019中文电影-最好免费观看高清视频免费-最近免费中文字幕大全免费版视频

您好!歡迎光臨烜芯微科技品牌官網!

深圳市烜芯微科技有限公司

ShenZhen XuanXinWei Technoligy Co.,Ltd
二極管、三極管、MOS管、橋堆

全國服務熱線:18923864027

  • 熱門關鍵詞:
  • 橋堆
  • 場效應管
  • 三極管
  • 二極管
  • 常見的共源共柵電流鏡電路介紹
    • 發布時間:2022-10-19 21:01:31
    • 來源:
    • 閱讀次數:
    常見的共源共柵電流鏡電路介紹
    電流鏡是模擬集成電路設計中基本的電路單元之一,在電流拷貝,運放偏置等電路中極為常見,其決定著電流拷貝的精準性以及運放的增益,匹配等特性。共源共柵電流鏡得益于其優越的輸出阻抗,在高精度的模擬電路中被廣泛使用。
    簡單共源共柵電流鏡
    共源共柵電流鏡
    圖1 簡單共源共柵電流鏡
    上圖所示為簡單的共源共柵電流鏡,對該電路而言,只需要保證M1和M3,M2和M4這兩對MOS管成比例的設計,同時輸出電壓大于Vgs1+Vdsat2的要求,即可使所有的MOS管都工作在飽和區,以實現精準的電流拷貝和較大的輸出阻抗。
    在設計時,我們常常將M1和M3設計得具有較大的溝長L和較大的過驅動電壓,這是因為電流拷貝主要由M1和M3決定,因此較大的溝長L可以保證M1和M3輸出阻抗更大,因而更少地受到漏端電壓的影響,電流拷貝更為精準。
    而較大的過驅動電壓可以保證他們受失配的影響更小。而作為減弱輸出電壓影響功能的M2和M4,出于面積和輸出電壓裕度的考慮,要求變得寬松了很多,事實上M2和M4在設計時甚至可以采用工藝允許的最小溝長。這一點在所有的共源共柵中都是適用的。
    該電路的最大缺點即為其“吃掉”了很大的輸出電壓裕度,相比低壓共源共柵電流鏡,它需要的輸出電壓“高”一個Vth,對于在意輸出電壓范圍的應用,如供電電壓很低,或為作為共源共柵運放的輸出級等,該電路顯得“浪費”,因此不那么適用。
    而對一個不在意輸出電壓范圍的電路,比如芯片中各種電流的簡單拷貝,其電路簡單,設計方便,需要考慮的因素沒有低壓共源共柵電流鏡多,因此更為適用。
    低壓共源共柵電流鏡
    共源共柵電流鏡
    圖2 低壓共源共柵電流鏡1
    共源共柵電流鏡
    圖3 低壓共源共柵電流鏡2
    為了解決簡單共源共柵電流鏡輸出電壓范圍大的問題,低壓共源共柵電流鏡應運而生。圖2和圖3給出了日常設計中兩種常用的低壓共源共柵電流鏡電路,兩者區別為產生M2(M4)的柵極偏置電壓電路的不同。
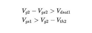
    相同的是,為了使所有晶體管工作在飽和區,電路需要滿足式(1):
    共源共柵電流鏡
    在圖2中,Vg2即為M5的柵源電壓Vgs5,通過另外一路電流加上合理選擇M5的尺寸,以使得Vg2滿足上式的要求。而在圖3中,Vg2為Vgs1+IinR,通過選擇R的值即可確定Vg2。
    根據式(1)可知,Vg2被限定在一個范圍內,因此相比簡單的共源共柵電流鏡,低壓共源共柵電流鏡受到了額外的約束,在這種約束下,會出現下面兩種情況:
    情況1:Vg2如果設置過低,則容易使得M1進入線性區,因為在電流鏡中,M1和M3決定電流拷貝,因此工作在線性區會使得該電流鏡直接不正常工作;
    情況2:如果Vg2設置過高,則M2進入線性區,此時M4是否進入線性區取決于M4的漏端電壓。但此時,M1和M3仍然工作在飽和區,電流拷貝仍然正常。
    如果M4的漏端電壓足夠到M4工作在飽和區,那么M4仍然可以起到減弱輸出電壓對M3漏端電壓影響的作用,但是因為M1+M2與M3+M4不是完全鏡像,因此電流拷貝的精準性不如完全正常工作的電流鏡。
    這種情況,如果不要求電流拷貝準確,只單純想要高輸出阻抗,比如作為運放輸出級,那么該目標仍然可以實現。因此,如果在設計運放偏置時,由于電路的限制,必須選擇Vg2在整個溫度,工藝角范圍內高一些或是低一些,高一些這個選擇可能影響會更小。
    這也是筆者在電路設計時常常遇到的問題,該問題尤其在Vgs1較低時更容易出現,因為該情況會使得留給Vg2的可選范圍很小,尤其加上溫度和工藝角的考慮。
    圖2和圖3相比,圖2電流需要多一路電流進行偏置,而圖3電路需要多使用一個電阻,前者帶來額外的功耗和電路復雜度,后者帶來更大的面積(尤其在低功耗電路中),設計時可以根據需求進行選擇。
    相比簡單共源共柵電流鏡,低壓共源共柵電流鏡多了一個閾值電壓的輸出電壓裕度,因此更適用于低供電電壓,運放輸出級等場景。
    〈烜芯微/XXW〉專業制造二極管,三極管,MOS管,橋堆等,20年,工廠直銷省20%,上萬家電路電器生產企業選用,專業的工程師幫您穩定好每一批產品,如果您有遇到什么需要幫助解決的,可以直接聯系下方的聯系號碼或加QQ/微信,由我們的銷售經理給您精準的報價以及產品介紹
     
    聯系號碼:18923864027(同微信)
    QQ:709211280

    相關閱讀