最好看的2018免费观看在线-最好看的2019中文电影-最好免费观看高清视频免费-最近免费中文字幕大全免费版视频

您好!歡迎光臨烜芯微科技品牌官網!

深圳市烜芯微科技有限公司

ShenZhen XuanXinWei Technoligy Co.,Ltd
二極管、三極管、MOS管、橋堆

全國服務熱線:18923864027

  • 熱門關鍵詞:
  • 橋堆
  • 場效應管
  • 三極管
  • 二極管
  • 共源共柵級輸入噪聲解析
    • 發布時間:2022-09-17 18:10:28
    • 來源:
    • 閱讀次數:
    共源共柵級輸入噪聲解析
    共源共柵級輸入噪聲原理分析
    共源共柵級輸入噪聲
    共源共柵級的輸入噪聲(只考慮白噪聲):
    共源共柵級 輸入噪聲
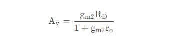
    這里M1和RD貢獻的輸入噪聲都比較好算,稍微麻煩一點的就是M2對輸入噪聲的貢獻。先將M2柵極電壓變化對輸出的增益計算出來。
    根據疊加原理,M1柵極接地等效為電阻Ro,那么M2的增益即為帶源級負反饋的共源極,采用T-model可以方便的計算出增益:
    共源共柵級 輸入噪聲
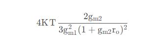
    那么對輸入噪聲的貢獻可得到
    共源共柵級 輸入噪聲
    相對于M1對輸入噪聲的貢獻M2的貢獻完全可以忽略
    M1與M2對輸入噪聲貢獻的直觀對比
    這種公式實在是不夠直觀認識到M2的噪聲為啥可以忽略,為了直觀的對比M1與M2對輸入噪聲的貢獻程度,搭建了一個共源共柵級,然后分別進行AC仿真,搭建電路參數和仿真結果如下:
    共源共柵級 輸入噪聲
    共源共柵級 輸入噪聲
    從圖中可以看出噪聲增益相差50多dB,超過100倍了,完全可以忽略M2輸入噪聲的影響。
    〈烜芯微/XXW〉專業制造二極管,三極管,MOS管,橋堆等,20年,工廠直銷省20%,上萬家電路電器生產企業選用,專業的工程師幫您穩定好每一批產品,如果您有遇到什么需要幫助解決的,可以直接聯系下方的聯系號碼或加QQ/微信,由我們的銷售經理給您精準的報價以及產品介紹
     
    聯系號碼:18923864027(同微信)
    QQ:709211280

    相關閱讀