最好看的2018免费观看在线-最好看的2019中文电影-最好免费观看高清视频免费-最近免费中文字幕大全免费版视频

您好!歡迎光臨烜芯微科技品牌官網!

深圳市烜芯微科技有限公司

ShenZhen XuanXinWei Technoligy Co.,Ltd
二極管、三極管、MOS管、橋堆

全國服務熱線:18923864027

  • 熱門關鍵詞:
  • 橋堆
  • 場效應管
  • 三極管
  • 二極管
  • 折疊式共源共柵結構,折疊式共源共柵放大器介紹
    • 發布時間:2022-09-03 15:38:55
    • 來源:
    • 閱讀次數:
    折疊式共源共柵結構,折疊式共源共柵放大器介紹
    折疊式共源共柵結構
    共源共柵級由共源級實現電壓到電流的轉換,然后電流信號加到共柵級的源端。因此,構成共源共柵級時共源管和共柵管類型可以不同。
    如圖3.0.2.1,M1是輸入器件:PMOS;M2是共源共柵器件:NMOS;I1為直流偏置電流源。
    折疊式共源共柵 放大器
    折疊式共源共柵 放大器
    折疊式共源共柵結構具有輸出阻抗高、增益高等優點,但同時折疊式共源共柵級直流功耗大。
    共源共柵放大器頻率特性分析
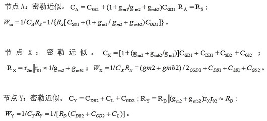
    節點近似法分析三個節點:A、X、Y,如圖3.1.1.1所示。
    折疊式共源共柵 放大器
    折疊式共源共柵 放大器
    在這三個極點中,其中Win一般不考慮,在設計電路時,Wx選擇在高頻處。因此:Wy是主極點,傳輸函數是單極點函數。
    折疊式共源共柵放大器
    目前共源共柵放大器已經逐漸取代了傳統的套筒式運放,因為共源共柵放大器的輸出擺幅明顯比它更大,而且易于對輸入與輸出進行操作如圖3.1.2.4所示,為一個PMOS的共源共柵放大器。
    折疊式共源共柵 放大器
    〈烜芯微/XXW〉專業制造二極管,三極管,MOS管,橋堆等,20年,工廠直銷省20%,上萬家電路電器生產企業選用,專業的工程師幫您穩定好每一批產品,如果您有遇到什么需要幫助解決的,可以直接聯系下方的聯系號碼或加QQ/微信,由我們的銷售經理給您精準的報價以及產品介紹
     
    聯系號碼:18923864027(同微信)
    QQ:709211280
    相關閱讀