最好看的2018免费观看在线-最好看的2019中文电影-最好免费观看高清视频免费-最近免费中文字幕大全免费版视频

您好!歡迎光臨烜芯微科技品牌官網!

深圳市烜芯微科技有限公司

ShenZhen XuanXinWei Technoligy Co.,Ltd
二極管、三極管、MOS管、橋堆

全國服務熱線:18923864027

  • 熱門關鍵詞:
  • 橋堆
  • 場效應管
  • 三極管
  • 二極管
  • 電感,怎么測量電感
    • 發布時間:2021-12-13 17:32:20
    • 來源:
    • 閱讀次數:
    電感,怎么測量電感
    電感的主要特性是貯存磁場能。但由于它一般是用金屬導線繞制而成的,所以有繞線電阻(對于磁芯電感還應包括磁性材料插入的損耗電阻)和線圈匝與匝之間的分布電容。采用一些特殊的制作工藝,可減小分布電容,工作頻率也較低時,分布電容可忽略不計。因此,電感的測量主要包括電感量和損耗(通常用品質因數Q表示)兩部分內容。
    1.諧振法測量電感
    測量電感
    圖1 諧振法測量電感
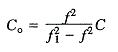
    如圖1所示為并聯諧振法測電感的電路,其中C為標準電感,L為被測電感,Co為被測電感的分布電容。測量時,調節信號源頻率,使電路諧振,即電壓表指示最大,記下此時的信號源頻率f,則:
    測量電感
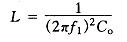
    由此可見,還需要測出分布容Co,測量電路如圖1所示,只是不接標準容。調信號源頻率,使電路自然諧振。設此頻率為f1,則:
    測量電感
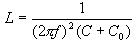
    由上兩式可得:
    測量電感
    將Co代入L的表達式,即可得到被測電感的感量。
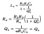
    2.交流電橋法測量電感
    測量電感的交流電橋如圖2(a)和(b)所示的馬氏電橋和海氏電橋兩種電橋,分別適用于測量品質因數不同的電感。
    測量電感
    圖2 交流電橋法測量電感
    如圖2(a)所示的馬氏電橋適用于測量Q<10的電感,圖中Lx為被測電感,Rx為被測電感損耗電阻,馬氏電橋由電橋平衡條可得:
    測量電感
    一般在馬氏電橋中,R3用開關換接作為量程選擇,R2和Rn為可調元件,由R2的刻度可直讀Lx,由Rn的刻度可直讀Q值。圖2(b)所示的海氏電橋適用于測量Q>10的電感,測量方法和結論與馬氏電橋相同。
    〈烜芯微/XXW〉專業制造二極管,三極管,MOS管,橋堆等,20年,工廠直銷省20%,上萬家電路電器生產企業選用,專業的工程師幫您穩定好每一批產品,如果您有遇到什么需要幫助解決的,可以直接聯系下方的聯系號碼或加QQ/微信,由我們的銷售經理給您精準的報價以及產品介紹
     
    電話:18923864027(同微信)
    QQ:709211280

    相關閱讀