最好看的2018免费观看在线-最好看的2019中文电影-最好免费观看高清视频免费-最近免费中文字幕大全免费版视频

您好!歡迎光臨烜芯微科技品牌官網!

深圳市烜芯微科技有限公司

ShenZhen XuanXinWei Technoligy Co.,Ltd
二極管、三極管、MOS管、橋堆

全國服務熱線:18923864027

  • 熱門關鍵詞:
  • 橋堆
  • 場效應管
  • 三極管
  • 二極管
  • mos管模型和三個小信號參數
    • 發布時間:2019-08-09 16:51:51
    • 來源:
    • 閱讀次數:
    小信號等效電路
    模仿電路解析包括直流解析和交流小信號解析。這里導入小信號解析時所需要的小信號等效電路。小信號等效電路模型是使計算簡單化的線性模型。
    三個小信號參數gm、gmb、go
    如前所述,模仿電路是在MOS晶體管器件的飽和區停止工作的。飽和區中,MOS晶體管的ID-VGS特性是ID∝ (VGS_VT)2,ID與Gs之間不是線性關系。但是,如圖2.1所示,在微小電壓νgs與微小電流id之間能夠看作線性關系近似認為id∝ νgs。
    mos管
    圖2.2示出MOS晶體管的低頻小信號等效電路。這里運用的小信號參數gm、gmb、go定義如下(單位都是西[門子],S)。
    (1)跨導(transconductance) gm:
    mos管
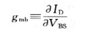
    (2)體跨導(bulk  transconductance)gmb:
    mos管
    mos管
    (3)漏極電導(grain conductance)go:
    mos管
    跨導gm表示圖2.1中示出的微小區域中直線的斜率。漏極電導go表示圖2.3中示出的ID-VDS特性的斜率,go=1/ro(ro是輸出電阻)。
    mos管
    烜芯微專業制造二三極管,MOS管,20年,工廠直銷省20%,1500家電路電器生產企業選用,專業的工程師幫您穩定好每一批產品,如果您有遇到什么需要幫助解決的,可以點擊右邊的工程師,或者點擊銷售經理給您精準的報價以及產品介紹
    相關閱讀