最好看的2018免费观看在线-最好看的2019中文电影-最好免费观看高清视频免费-最近免费中文字幕大全免费版视频

您好!歡迎光臨烜芯微科技品牌官網!

深圳市烜芯微科技有限公司

ShenZhen XuanXinWei Technoligy Co.,Ltd
二極管、三極管、MOS管、橋堆

全國服務熱線:18923864027

  • 熱門關鍵詞:
  • 橋堆
  • 場效應管
  • 三極管
  • 二極管
  • 串聯是什么-串聯中包括什么電氣設備
    • 發布時間:2019-08-05 16:01:44
    • 來源:
    • 閱讀次數:
    串聯
    什么是串聯?串聯是指兩個或兩個以上物體并行相連串接在一同,就似乎一列火車,各個高速公路串聯在一起。電子技術中的串聯主要有元器件的串聯、電路的串聯、電氣設備的串聯等。
    在元器件的串聯中,電阻串聯后總阻值增大。兩個電阻的串聯如圖1-13所示,電阻R1的電阻值為R1。電阻R2的電阻值為R2兩個電阻串聯后,等效為一個電阻R,電阻R的電阻值R=R1+R2。當R1=R2時,R=2R1。
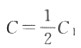
    電容串聯后總容量減小。兩個電容的串聯如圖l-14所示,電容C1的電容量為C1,電容C2的電容量為C2兩個電容串聯后,等效為一個電容C,電容C的電容容量C=串聯,當C1=C2時,串聯
    串聯
    測量電流時—般采用串聯方式,如圖1-15所示,電流表PA串接在燈泡EL的電路中,即可丈量燈泡的電流。
    電燈的串聯如圖1-16所示,兩個功率相等的燈泡EL1、EL2串聯銜接在220V電源上,每個燈泡得到一半電壓,即110V電壓。這可以是兩個IlOV燈泡的一種應用方式,也可以是兩個220V燈泡降低亮度延短命命的應用方式。
    串聯
    烜芯微專業制造二三極管,MOS管,20年,工廠直銷省20%,1500家電路電器生產企業選用,專業的工程師幫您穩定好每一批產品,如果您有遇到什么需要幫助解決的,可以點擊右邊的工程師,或者點擊銷售經理給您精準的報價以及產品介紹
    相關閱讀